WSDU-2X4ER 2x4 超寬頻分配器
雙通道獨立放大,無損寬頻分配
高動態支援 Wi-Fi 與 V2V 頻段
WSDU-2X4ER 分配器可將兩組獨立輸入訊號,各自分配至四個輸出通道,並整合於同一機種中,此機種支援 20 MHz 至 8000 MHz 的頻率範圍,具備優異的動態特性與無損訊號分配能力;另提供具備外部設備監控功能的變體。
WSDU-2X4ER 可分配來自 VHF、UHF 以及低 SHF 頻段的訊號,涵蓋 Wi-Fi 802.11 a/b/g/n/ac 標準與 V2V(Vehicle-to-Vehicle,車對車)應用所使用之頻率範圍;此外,於研發與測試應用中,可支援高達 8 GHz 的測試訊號分配。各類訊號來源,如訊號產生器或天線設備,皆可與 WSDU-2X4ER 靈活搭配使用。由於其支援極寬頻設計,亦可相容最新無線通訊標準如 Wi-Fi 6E。
產品特點
- 2 組獨立射頻區段
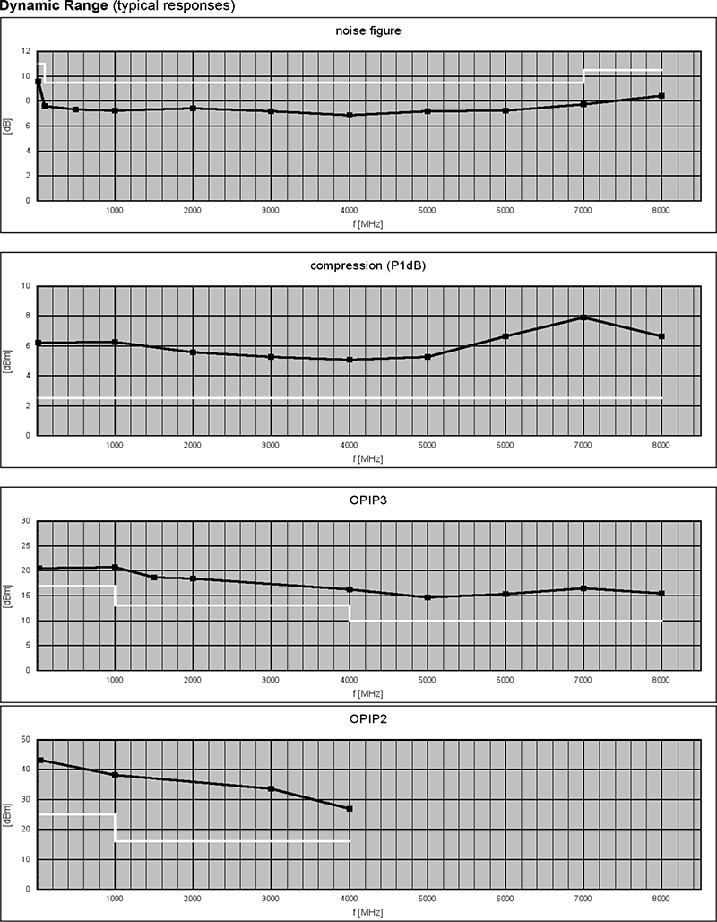
- 極寬頻設計:20 MHz 至 8000 MHz
- 高動態範圍放大器,強弱訊號同時處理
- 1 對 4 無損訊號分配
- 提供具設備監控/SNMP功能之變體
- 提供 AC 或 DC 電源供應選項
應用場景
- 天線訊號分配
- 無線電監控系統
- 方位探測與定位系統
- 研發與測試驗證(R&D)

無損 1 對 4 訊號分配
WSDU-2X4ER 內部包含兩個獨立分區,每個分區可將一組輸入訊號分配至四個輸出埠,頻率範圍支援從 20 MHz 延伸至超過 8000 MHz;輸入訊號經由創新型寬頻低雜訊放大器放大,具備高動態範圍,即使在強訊號旁邊出現弱訊號,也能確保線性放大與穩定處理;輸出訊號可在每個分區的四個埠中維持輸入等級,無任何損耗。
此機種的硬體結構設計可提供極佳的相位與幅度平衡表現,所有射頻輸入與輸出皆採用 N 型母接頭,確保連接穩定與耐用。
供電彈性設計
WSDU-2X4ER 提供兩種電源版本,分別支援 AC 或 DC 電源輸入,兩者皆覆蓋寬廣電壓範圍,便於整合於多樣化系統架構。
設備監控功能與遠端管理
WSDU-2X4ER 具備內建設備監控功能,標準機種提供光學訊號指示器,可即時顯示設備健康狀態;如需遠端監控,另提供支援 LAN 與 USB 存取介面的變體;透過遠端介面可查詢各級寬頻放大器之操作狀態、模組溫度與設備識別資訊,所有資料以 ASCII 字串格式輸出;支援 SNMP 功能的版本可於複雜系統中進行整合監控,並具備 SNMPv2 trap 功能,可主動回報異常狀況至上位管理系統。
技術規格


效能


外觀

尺寸

相關產品



