WSDU-2X4SER
2X4 超寬頻 HF/UHF 訊號分配器
雙區段超寬頻架構,精準分配短波與 UHF 訊號
WSDU-2X4SER 為一款超寬頻分配器(Multicoupler),具備兩組獨立運作的射頻(RF)處理區段,每個區段皆可將一組共用輸入訊號,無等級損失地分配至四組輸出埠。
- A 區段針對短波訊號應用進行優化,提供極高的動態範圍與線性放大能力;
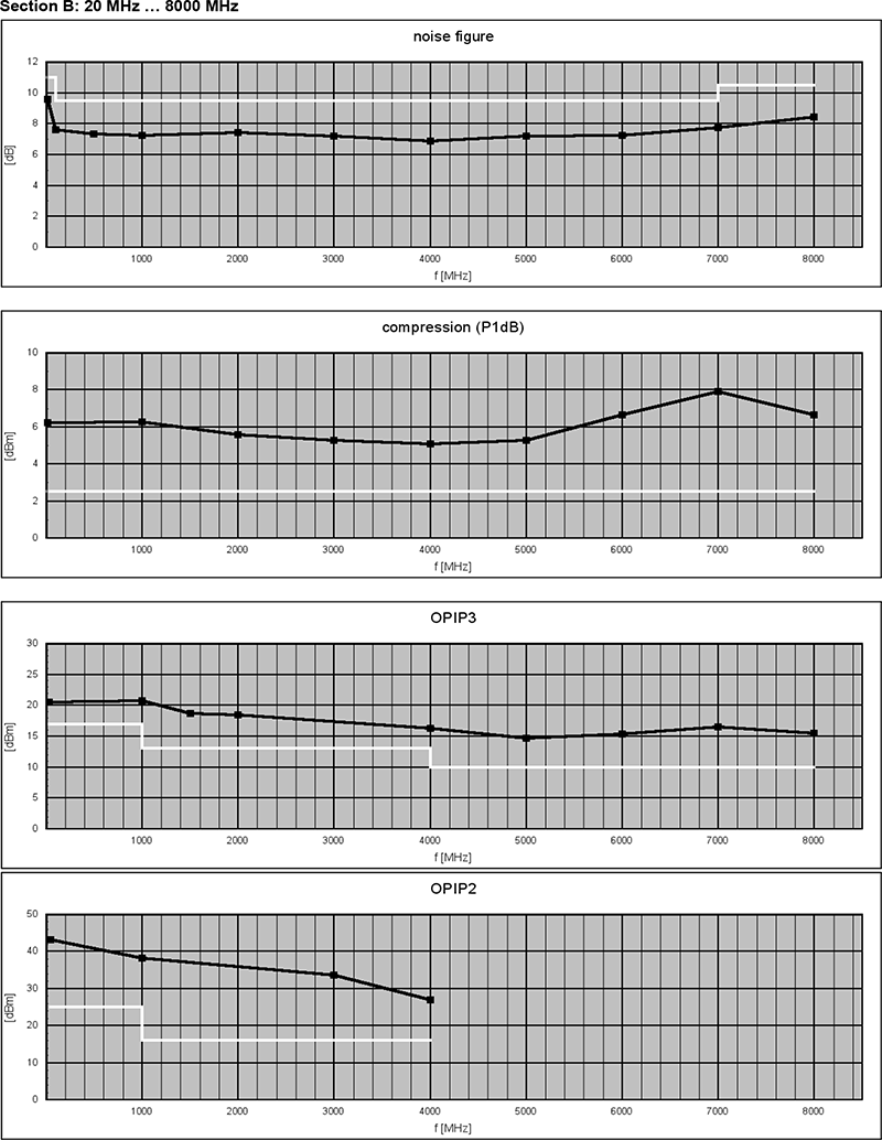
- B 區段支援高達 8 GHz 的超寬頻頻段,具備廣泛的相容性。
此機種提供 交流(AC)或直流(DC)電源版本,可彈性配合不同應用場景需求。
功能特點
- 兩組獨立 RF 區段
- A 區段:200 kHz ~ 30 MHz
- 高動態短波訊號處理能力
- 內建輸入頻帶通濾波器(Bandpass Filter)
- 提供電路保護設計
- B 區段:20 MHz ~ 8000 MHz
- 超寬頻操作支援
- 可選擇 AC 或 DC 電源版本
- 支援選配之遠端監控功能,內建 BITE(Built-In Test Equipment)狀態監測
應用場景
- 天線訊號分配
- 無線電監測(Radio Monitoring)
- 射頻方向尋向(Direction Finding)
- 研發與測試用途(R&D)

系統架構與說明
WSDU-2X4SER 採用雙區段獨立運作架構,每區段可將單一 RF 輸入訊號分配至四組輸出,具備高線性、高穩定度與超寬頻處理能力。
無損訊號分配
RF 輸入訊號透過寬頻低雜訊放大器(Low-Noise Amplifier)進行放大,此放大器具備高動態範圍特性,可線性處理微弱訊號與強大訊號共存的情況,確保訊號在傳輸過程中維持原始等級;輸出架構具備優異的相位與振幅一致性,所有 RF 埠皆採用 N 型母頭介面,確保高頻傳輸品質與設備相容性。
電源供應版本
本機種提供兩種版本:
- AC 版本:適用標準工業電源環境
- DC 版本:適用便攜式或特殊應用電力需求
兩者皆支援寬範圍電壓輸入,方便整合至多樣化系統配置中。
裝置監控功能
WSDU-2X4SER 內建光學狀態指示器,可即時顯示設備運行狀況,作為標準監控機制;若選用具備遠端監控功能之版本,則支援:
- LAN 與 USB 介面,可存取裝置識別碼、模組溫度、內部放大器工作點等關鍵資訊;
- 所有資料可透過 ASCII 字串傳輸,利於系統整合;
- 遠端版本支援 SNMP,可自動通報異常狀況至監控系統,提升維運效率與可靠性。
技術規格



效能





外觀

尺寸

相關產品



